顏料紅185高性能苯并咪唑酮洋紅有機顏料 Pigment Red 185
- 名稱:顏料紅185
- 俗稱:永固胭脂紅 HF4C
- 色相/色光:艷藍光紅色
- 化學類別:苯并咪唑酮顏料
- 特點:顏色鮮艷、著色力強、高耐光、耐溶劑、耐遷移
- 應用:塑料、油墨、涂料
- 更新日期:2025-05-19
- 點擊索要樣品 查詢相關產品
顏料紅185(Pigment Red 185)詳解:性能、應用與合成工藝
顏料紅185(C.I. Pigment Red 185)是一種高性能苯并咪唑酮類有機顏料,呈現出鮮艷的藍光紅色,具有優異的著色力、耐光性、耐熱性和良好的遷移牢度,廣泛應用于塑料、油墨、涂料、橡膠等多個行業。本文將系統介紹該顏料的化學性質、理化性能、主要應用領域以及其合成方法。
一、顏料紅185基本信息
-
中文名稱:顏料紅185
-
英文名稱:Pigment Red 185
-
通用名稱:苯并咪唑酮洋紅 HF4C
-
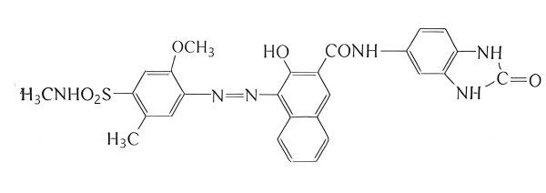
化學名稱:
N-(2,3-二氫-2-氧代-1H-苯并咪唑-5-基)-3-羥基-4-[2-甲氧基-5-甲基-4-(甲氨基磺酰基)苯基]偶氮-2-萘甲酰胺
N-(2,3-dihydro-2-oxo-1H-benzimidazol-5-yl)-3-hydroxy-4-[[2-methoxy-5-methyl-4-[(methylamino)sulfonyl]phenyl]azo]-2-naphthalenecarboxamide -
顏料類別:有機顏料
-
結構類型:苯并咪唑酮類
-
C.I.結構號:12516
-
CAS號:51920-12-8
-
EINECS號:257-515-0
-
分子式:C??H??N?O?S
-
分子量:560.63
-
分子結構:

二、顏料紅185理化性能
| 項目 | 參數 |
|---|---|
| 色相 | 鮮艷藍光紅色 |
| 相對密度 | 1.45 g/cm³ |
| 堆積密度 | 11.2–11.6 lb/gal |
| 熔點 | 335–345℃ |
| 平均粒徑 | 約180 nm |
| 顆粒形狀 | 小薄片狀 |
| 比表面積 | 43–47 m²/g |
| pH值(10%漿料) | 6.5 |
| 吸油量 | 97 g/100g |
| 遮蓋力 | 透明型 |
三、顏料紅185性能與優勢
顏料紅185是一種藍紅色調高性能顏料,具有以下顯著特點:
-
優異的耐光性:耐光牢度6-7級(1/3SD);
-
良好的耐熱性:在印墨中耐熱為220°C/10分鐘;
-
高著色力:半透明艷藍光紅色,顏色鮮艷,著色力強;
-
耐遷移性強:在軟質PVC中遷移性表現優異;
-
溶劑穩定性:幾乎完全不溶于常見有機溶劑,且耐滅菌處理;
-
介電性能:具有良好的介電性能,適用于電纜行業。

四、顏料紅185應用領域
顏料紅185的應用范圍廣泛,適用于多種工業和消費品領域:
1. 塑料著色
推薦用于:
- PE、PP、PS、PVC、PU、EVA、PO等各種塑料材料;
- 電纜護套材料
- 彩色母粒與改性塑料
- 橡膠制品
2. 印刷油墨
適合于:
- 膠印油墨
- 水性油墨
- 溶劑型油墨(如PP、NC油墨)
- UV油墨
- 金屬裝飾和層壓塑料薄膜印刷油墨
- 紡織品印花
3. 涂料與油漆
推薦用于:
- 工業涂料
- 建筑漆
- 卷鋼涂料
- 汽車OEM和修補漆
- 粉末涂料

五、顏料紅185合成方法
顏料紅185的合成過程較為典型,屬于偶氮縮合反應與后處理工藝結合的工藝路線。其簡要步驟如下:
-
重氮化:將2-甲氧基-4-甲氨基磺酰基-5-甲基苯胺在水和鹽酸中攪拌溶解,并冷卻至0–5℃,滴加亞硝酸鈉溶液進行重氮化反應。
-
偶合反應:將色酚AS-HNBI與氫氧化鈉水溶液加熱溶解并過濾,調節重氮液pH至5–6(用乙酸鈉),滴加至偶合組分中,攪拌反應后升溫至90℃,繼續攪拌。
-
顏料化處理:冷卻、過濾得到粗品顏料,再將其在二甲基甲酰胺(DMF)中進行顏料化處理,最終得到商品級CI.顏料紅185。
顏料紅185代表產品
-
潤巴P1430藍光紅色苯并咪唑酮類有機顏料_顏料紅185
潤巴Ranbar Red P1430是一種半透明的藍相紅色苯并咪唑酮類有機顏料,索引號為顏料紅185,該顏料顏色鮮艷明亮,著色力強,具有良好的耐光性、耐熱性、耐...
-
科萊恩CLARIANT Novoperm Carmine HF4C胭脂紅油墨專用顏料
科萊恩CLARIANT Novoperm Carmine HF4C是一種胭脂紅色苯并咪唑酮類油墨專用顏料,它表現出優異的的耐溶劑性、耐酸堿性和耐重涂性等整體牢度...
-
科萊恩HF4C洋紅色苯并咪唑酮顏料Graphtol Carmine HF4C(顏料紅185)
科萊恩CLARIANT Graphtol Carmine HF4C是一種洋紅色苯并咪唑酮有機顏料,具有良好的耐光性、耐熱穩定性以及優異的耐遷移和耐酸堿性等整體色...
