顏料黃183(PY183)性能特點、應用領域與合成工藝解析
- 名稱:顏料黃183
- 俗稱:PY183
- 色相/色光:紅光黃色
- 化學類別:偶氮色淀顏料
- 特點:耐高溫、高色牢度、易分散、耐遷移
- 應用:塑料、涂料
- 更新日期:2025-05-15
- 點擊索要樣品 查詢相關產品
顏料黃183(Pigment Yellow 183)耐高溫紅光黃顏料性能和應用與合成工藝解析
- 中文名:顏料黃183
- 英文名:Pigment Yellow 183(PY183)
- CAS號:65212-77-3
- C.I.結構號:18792
- 化學結構:單偶氮鈣鹽色淀
- 色相/色光:紅光黃色
-
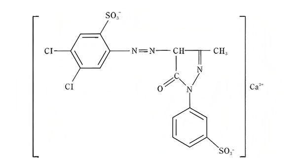
化學文摘名稱:4,5-二氯-2-[[4,5-二氫-3-甲基-5-氧代-1-(3-磺基苯基)-1H-吡唑-4-基]偶氮]苯磺酸鈣鹽(1:1)
4,5-dichloro-2-[[4,5-dihydro-3-methyl-5-oxo-1-(3-sulfophenyl)-1H-pyrazol-4-yl]azo]benzenesulfonic acid, calcium salt (1:1) - 分子式:C??H??Cl?N?O?S?Ca
- 分子量:545.40
-
分子結構圖:

一、顏料黃183性能特點
顏料黃183(Pigment Yellow 183)是一種紅光黃色偶氮鈣鹽色淀類有機顏料,有良好的分散性、優異的熱穩定性、出色的耐光性和良好的耐遷移性等特點。雖然其著色力相較某些有機顏料略低,但因其具備較高的高溫穩定性和耐候性能,近年來成為塑料行業中廣泛采用的高性能顏料之一。
-
顏色表現:紅光黃色,色澤鮮艷。
-
熱穩定性:具有出色的熱穩定性(高達 300°C),適用于需要在較高溫度下加工的塑料產品著色。
-
無翹曲性:在1/3標準深度(SD)下,用于高密度聚乙烯(HDPE)時可耐熱達300°C,并且無翹曲變形。
-
耐光與耐候性:耐曬牢度可達7~8級,并且在全陰處具有出色的耐候性,適合戶外使用。
-
分散性能:極易分散于各種聚合物中,制備過程更為高效。
-
環保性能:不含重金屬、不含DCB,可用作鉻黃與二芳基黃系顏料的替代品。
-
低遷移性:在增塑PVC及其他高分子材料中具備優良的抗遷移性能。

二、顏料黃183應用領域
顏料黃183特別適合需要高溫加工和優良耐候性的塑料制品,可廣泛用于以下材料和工藝中:
-
塑料類:
-
聚烯烴(PP、PE、LLDPE、LDPE、HDPE)
-
工程塑料(ABS、SAN、ASA、POM、PET;PA除外)
-
熱塑性聚氨酯(PUR)、聚苯乙烯(PS)、聚甲基丙烯酸甲酯(PMMA)
-
聚氯乙烯(PVC)軟質/硬質制品
-
-
橡膠與彈性體
-
涂料類:
-
工業涂料、卷材涂料、粉末涂料、建筑涂料等
-
-
其他應用:
-
吹塑、注塑、纖維、薄膜、PVC電纜包覆等
-
其高熱穩定性、不翹曲性和良好的環保性,使其成為傳統鉻黃等含鉛顏料的環保替代方案。特別是在HDPE中,可在低濃度下使用,仍保持高熱穩定性,適合淺色配色體系。
三、顏料黃183使用建議與著色力
-
在PVC中配制1/3 SD色深(搭配1%鈦白粉)時所需顏料量為0.34%
-
在HDPE中配制1/3 SD色深(搭配1%鈦白粉)時所需顏料量為0.43%
-
推薦用于對尺寸穩定性要求高的高溫注塑應用

四、顏料黃183合成方工藝
顏料黃183的合成屬于典型的色淀類偶氮顏料制備路線:
-
重氮化:使用2-氨基-4,5-二氯苯磺酸作為重氮組分,在水溶液中加入亞硝酸鈉進行重氮化處理;過量亞硝酸通過加入氨磺酸去除。
-
偶合反應:將所得重氮鹽與1-(3'-磺酸苯基)-3-甲基-5-吡唑啉酮在pH 5~6的弱酸性條件下進行偶合反應。
-
沉淀轉化:偶合物進一步與氯化鈣反應生成鈣鹽色淀。
-
后處理:加熱、過濾、洗滌并干燥等處理,得到最終顏料黃183產品。
五、總結
有機顏料黃183憑借其優異的熱穩定性、耐光耐候性以及出色的耐遷移性等特點,成為塑料、涂料等行業中高性能紅光黃色顏料的理想選擇。它不僅可以替代傳統含鉛顏料,同時也能滿足現代高溫加工工藝的需求。
顏料黃183代表產品
-
潤巴P3860耐高溫塑料顏料_顏料黃183
潤巴Ranbar Yellow P3860耐高溫塑料顏料是一種經濟型的中黃色偶氮色淀類有機顏料,顏料黃183,該顏料特別適用于需要在較高溫度下加工的各種塑料產品...
-
巴斯夫K1700透明紅相黃色偶氮色淀顏料(顏料黃183)
巴斯夫K1700有機顏料是一種透明的紅相黃色偶氮色淀顏料,具有優異的耐熱穩定性和高耐光耐候性,在高密度聚乙烯注塑成型中低翹曲性,特別推薦用于聚烯烴薄膜和聚丙烯纖...
-
德國巴斯夫K1800紅光黃色耐高溫有機顏料 顏料黃183
巴斯夫BASF Paliotol Yellow K1800是一種多功能的不透明紅光黃色偶氮色淀類有機顏料,顏料黃183號,在聚烯烴中具有優良分散性、耐熱穩定性和...
