顏料紅48:2_艷藍光紅色單偶氮色淀有機顏料
- 名稱:顏料紅48:2(Pigment Red 48:2)
- 俗稱:永固紅BB
- 色相/色光:艷藍光紅色
- 化學類別:單偶氮色淀顏料
- 特點:色澤鮮艷、著色力強、良好的耐光性和耐熱性
- 應用:油墨、涂料、軟膠塑料
- 更新日期:2024-12-06
- 點擊索要樣品 查詢相關產品
顏料紅48:2—艷藍光紅色單偶氮色淀有機顏料介紹
顏料紅48:2(Pigment Red 48:2)是一種艷藍光紅色單偶氮色淀有機顏料,該顏料色澤鮮艷,著色力強,耐光和耐熱性較好,耐酸堿性較差,在濃硫酸中呈紫紅色,稀釋后呈藍光紅色沉淀,遇濃硝酸為棕紅色,遇氫氧化鈉為紅色。其色相比顏料紅48:1與顏料紅48:4更顯藍光,相比顏料紅57:1偏黃光。
- 英文名稱:Pigment Red 48:2/P.R.48:2
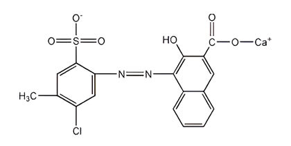
- 化學名稱:4-[(5-氯-4-甲基-2-磺酰苯基)偶氮]-3-羥基-2-萘甲酸鈣
- 顏料類別:有機顏料
- C.I.結構號:15865:2
- CAS登記號:7023-61-2
- 分子量:458.90
- 分子式:C18H11ClN2O6SCa
- 分子結構圖

物理化學性能:
| 密度 | 1.50-1.80 |
| 堆積密度/(lb/gal) | 12.5-15.5 |
| 平均粒徑 | 0.05-0.07μm |
| 粒子形狀 | 立方,棒狀 |
| 比表面積 | 53-100m²/g |
| pH值/(10%漿料) | 6.4-9.1 |
| 吸油量 | 35-67g/100g |
| 遮蓋力 | 半透明型 |

顏料紅48:2的合成方法
顏料紅48:2的合成工藝包括以下幾個步驟:
- 將2B-酸鈉鹽溶于水中過濾,冷卻后與亞硝酸鈉溶液混合,再將其放置在鹽酸水溶液中重氮化稀釋;
- 將2,3-酸溶于碳酸鈉水溶液中,冷卻并稀釋;
- 將重氮液在液面下加入偶合,攪拌、加熱、過濾;
- 將膏狀物懸浮于水中,調節pH至4.4-4.7,加入松香皂溶液,加熱至沸騰,最后倒入氯化鈣溶液中加熱至沸,過濾、水洗、干燥。
顏料紅48:2主要用途
顏料紅48:2被美國凹印技術協會作為包裝凹印油墨的標準紅色,主要用于印墨NC-型包裝印墨,在水性印墨中會變稠。顏料紅48:2也適用于軟膠塑料的著色,在軟質PVC著色不滲色,HDPE中耐熱230℃/5min,廣泛用于LDPE著色,比顏料紅48:1更耐光,也可用于PP原漿著色。
顏料紅48:2(Pigment Red 48:2)代表產品
-
日本DIC SYMULER RED P3013塑料用藍光紅單偶氮色淀有機顏料
日本DIC迪愛生SYMULER RED P3013是一種藍光紅色單偶氮色淀有機顏料,具有高著色力、高濃度、高光澤、易分散、耐遷移等優點,推薦用于PP聚丙烯和PE...
-
科萊恩油墨顏料Permanent Red LB01單偶氮色淀顏料紅48:2
科萊恩CLARIANT Permanent Red LB01是一種透明的單偶氮鈣鹽色淀β型萘酚顏料,顏料紅48:2,給出藍光紅色調,它表現出非常好的全面牢度性能...
-
巴斯夫艷佳麗D3785高強度藍光紅油墨顏料
巴斯夫艷佳麗Irgalite Red D3785是一種高強度的艷藍光紅色單偶氮色淀類有機顏料,顏料紅48:2號,具有色澤鮮艷、著色力強,耐光耐候性好、強度高、抗...
-
巴斯夫艷佳麗D3775有機顏料BASF Irgalite Red D3775/2BXL顏料紅
巴斯夫BASF Irgalite Red D3775/2BXL是一種半透明的藍光紅色偶氮有機顏料(顏料紅48:2),具有良好的耐光耐候性和耐溫性,耐酸堿性較差,...
