顏料黃109(Pigment Yellow 109)詳細性能與應用解析
- 名稱:顏料黃109
- 俗稱:異吲哚啉酮黃
- 色相/色光:綠相黃色
- 化學類別:異吲哚啉類
- 特點:耐高溫、高耐光耐候、耐遷移
- 應用:涂料、塑料、印刷油墨
- 更新日期:2025-07-07
- 點擊索要樣品 查詢相關產品
顏料黃109(Pigment Yellow 109)詳細介紹
一、基本信息
-
中文名稱:顏料黃109
-
英文名稱:Pigment Yellow 109
-
別名/俗稱:異吲哚啉酮黃
-
CAS號:5045-40-9
-
C.I.結構號:56284
-
EINECS編號:225-744-5
-
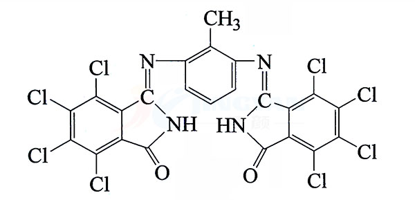
化學文摘名稱:3,3'-[(2-methyl-1,3-phenylene)diimino]bis[4,5,6,7-tetrachloro-1H-isoindol-1-one]
-
顏料類別:有機顏料
-
化學結構:異吲哚啉類
-
分子式:C??H?Cl?N?O?
-
相對分子量:655.96
-
分子結構:

二、物理化學性能
| 項目 | 指標參數 |
|---|---|
| 色相或陰影 | 綠光黃色 |
| 相對密度 | 1.89 |
| 堆積密度 | 15.7 lb/gal |
| 熔點 | 301 ℃ |
| 顆粒形狀 | 針狀 |
| 比表面積 | 24 m²/g |
| pH值(10%漿料) | 5.8 |
| 吸油量 | 39-45 g/100g |
| 遮蓋力 | 透明型 |
三、合成方法
顏料黃109的合成是以鄰苯二甲酸酐為原料,經氯化反應制備四氯苯酐,再進一步通過氯化反應合成3,3,4,5,6,7-六氯異吲哚啉酮,在鄰二氯苯中與2,6-二氨基甲苯進行縮合反應;生成物過濾,以鄰二氯苯洗滌,再過濾,干燥;合成的粗品顏料再進行顏料化處理,最終得到C.I. 顏料黃109成品。

四、優勢與特性
顏料黃109(Pigment Yellow 109)是一種基于異吲哚啉結構的高性能有機顏料,化學名稱為:3,3'-[(2-甲基-1,3-亞苯基)二亞氨基]雙[4,5,6,7-四氯-1H-異吲哚-1-酮];該顏料呈純正的綠光黃色調,整體性能良好,具有優異的耐熱性、耐光性、耐酸堿性及不遷移性,廣泛應用于涂料、塑料和油墨等領域。顏料黃109特別適用于高檔工業涂料調色,如汽車OEM涂料,亦可與無機顏料搭配使用,賦予深邃飽滿的色彩效果。本色(5%)制品耐光牢度可達6-7級,TiO?沖淡色(1:3~1:25)耐光牢度可達7-8級。其在聚烯烴中的耐熱性高達300℃,在軟質PVC中具備良好的耐遷移性和穩定性,適用于聚苯乙烯、橡膠、聚氨酯泡沫、聚丙烯原液著色及丙綸紡絲著色。同時,顏料黃109還廣泛應用于高檔印刷油墨,表現出良好的耐溶劑性、耐熱性和耐消毒性,滿足對色彩鮮艷度、耐久性和耐候性要求較高的應用場合。
-
純正鮮艷的綠光黃色,色澤明亮
-
透明型,與無機顏料搭配使用,可獲得深邃飽滿的色彩
-
耐光、耐候性優異,耐光牢度6-7級(本色),鈦白粉沖淡色可達7-8級
-
耐熱穩定性好,適用于多種高溫加工場合
-
良好的耐酸堿、耐溶劑性和耐遷移性能
-
易分散,工藝適應性強
-
適用于溶劑型和水性體系

五、應用領域
1. 涂料行業
顏料黃109廣泛用于各類高檔工業涂料,尤其適用于:
-
汽車涂料(OEM原廠涂料及修補漆)
-
建筑涂料、乳膠漆
-
金屬漆、工業涂裝
可與藍色有機顏料(如酞菁藍)拼混,調整色彩傾向更綠相,提升色彩表現力。
2. 塑料行業
顏料黃109適用于多種塑料制品著色:
-
聚烯烴(如聚乙烯、聚丙烯):耐熱可達300℃
-
聚氯乙烯(PVC):軟質PVC中耐遷移性、耐熱性能良好
-
聚苯乙烯、聚氨酯泡沫、橡膠等
-
丙綸纖維原液著色,適用于戶外領域
注意:高溫加工時色光可能變暗,部分結晶性塑料存在一定變形風險,建議根據具體工藝調整用量。
3. 油墨行業
顏料黃109廣泛用于高檔印刷油墨:
-
膠印油墨、水性油墨、溶劑型油墨
-
適用于要求高耐光、耐候性的墻面裝飾印刷
-
耐多種溶劑,耐熱性好,耐消毒處理
六、總結
顏料黃109憑借鮮艷的色澤、優異的耐熱耐光性能和廣泛的工藝適應性,在涂料、塑料及油墨等行業均有出色表現。尤其在汽車涂料、建筑涂料、高檔印刷油墨及高性能塑料著色中應用廣泛,深受市場認可。
