巴斯夫BASF Chimassorb 2020FDL高分子量嵌段低聚受阻胺光穩定劑
品牌:巴斯夫BASF
型號:Chimassorb 2020FDL
CAS:192268-64-7
分子量:2600 – 3400g/mol
外觀:微黃色顆粒
包裝規格:20公斤/包、40公斤/箱
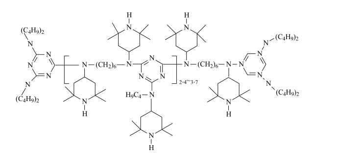
化學名稱:1,6-己二胺,N,N’-雙(2,2,6,6-四甲基-4-哌啶基),2,4,6-三氯-1,3,5-三嗪,N-丁基-1-丁胺,以及N-丁基-2,2,6,6-四甲基-4-哌啶胺的反應物
分子結構:


物理特性:
| 融點 | 120-150℃ |
| 堆積密度 | 550-650kg/m³ |
| 熱分解 | >300℃ |
| 比重(20℃) | 1.01g/cm³ |
| 蒸氣壓(20℃) | 7E-10 Pa (外推) |
| 溶解度 (20℃) |
% w/w
|
| 水 | < 0.0001 |
| 正己烷 | > 50 |
| 四氫呋喃 | > 15 |
| 二氯甲烷 | > 15 |
| 乙醇/水95/5 | > 2.5 |
| 正辛烷 | > 1.0 |
| 異丙醇 | > 0.2 |
基本特性:
巴斯夫BASF Chimassorb 2020FDL是一款高分子量嵌段齊聚受阻胺光穩定劑(HALS),它在聚合物中表現出優良的相容性和高抗萃取性,Chimassorb 2020FDL光穩定劑的一個獨特特點是非常窄的分子量分布,這使得其在使用和加工過程中具有一致的性能。Chimassorb 2020FDL結合了多種高分子量光穩定劑的典型優點,它為聚合物提供了卓越的光穩定和熱穩定性,以及改進的輔助性能,如改進的聚合物加工和增強顏料的色度。
巴斯夫BASF Chimassorb 2020FDL是一款高分子量嵌段齊聚受阻胺光穩定劑(HALS),它在聚合物中表現出優良的相容性和高抗萃取性,Chimassorb 2020FDL光穩定劑的一個獨特特點是非常窄的分子量分布,這使得其在使用和加工過程中具有一致的性能。Chimassorb 2020FDL結合了多種高分子量光穩定劑的典型優點,它為聚合物提供了卓越的光穩定和熱穩定性,以及改進的輔助性能,如改進的聚合物加工和增強顏料的色度。
性能優勢:
巴斯夫Chimassorb 2020FDL高分子量嵌段齊聚受阻胺光穩定劑提供了優異的紫外線和長期熱穩定性,以及最小的顏料相互作用和改進的熔體流動控制等輔助性能的最佳組合,它為PP纖維、PP膠帶、PE薄膜、PP和PE的厚制品提供優異的紫外線穩定性。此外,它為PP填充制品和炭黑填充系統提供了獨特的長期熱保護。巴斯夫光穩定劑2020FDL作為一種長期熱穩定劑在薄和厚物品中非常有效,并顯示出高抗萃取性。
巴斯夫Chimassorb 2020FDL高分子量嵌段齊聚受阻胺光穩定劑提供了優異的紫外線和長期熱穩定性,以及最小的顏料相互作用和改進的熔體流動控制等輔助性能的最佳組合,它為PP纖維、PP膠帶、PE薄膜、PP和PE的厚制品提供優異的紫外線穩定性。此外,它為PP填充制品和炭黑填充系統提供了獨特的長期熱保護。巴斯夫光穩定劑2020FDL作為一種長期熱穩定劑在薄和厚物品中非常有效,并顯示出高抗萃取性。

應用范圍:
巴斯夫Chimassorb 2020FDL高分子量受阻胺光穩定劑用于塑料、橡膠等高分子材料的防老化,其光穩定效果是傳統吸收型光穩定劑的2~4倍,且與許多樹脂具有良好的相容性,是目前發展較快的一類穩定劑,也是聚烯烴(PP、PE)、EVA等烯烴共聚物以及聚丙烯與彈性體共混物的高效光穩定劑。此外在某些情況下,Chimassorb 2020在聚縮醛、聚酰胺、聚氨酯、柔性和剛性PVC以及PVC共混物以及某些苯乙烯彈性體和特種粘合劑應用中非常有效。
巴斯夫Chimassorb 2020FDL高分子量受阻胺光穩定劑用于塑料、橡膠等高分子材料的防老化,其光穩定效果是傳統吸收型光穩定劑的2~4倍,且與許多樹脂具有良好的相容性,是目前發展較快的一類穩定劑,也是聚烯烴(PP、PE)、EVA等烯烴共聚物以及聚丙烯與彈性體共混物的高效光穩定劑。此外在某些情況下,Chimassorb 2020在聚縮醛、聚酰胺、聚氨酯、柔性和剛性PVC以及PVC共混物以及某些苯乙烯彈性體和特種粘合劑應用中非常有效。
使用指南:
| 纖維 | PP聚丙烯的紫外線和熱穩定性 | 0.1–1.4% |
| 膠帶 | PP和HDPE的紫外線和熱穩定性 | 0.1–0.8% |
| 厚制品* |
PP、HDPE、LDPE和LLDPE的紫外線和熱穩定
|
0.05–1.0% |
| 薄膜* |
LDPE、LLDPE、EVA和EBA的紫外線和熱穩定性
|
0.1–1.0% |
| *對于不著色或輕微著色的物品,或為了提高某些有機顏料的耐光性,建議與紫外線吸收劑(例如Tinuvin®326/328或Chimassorb 81)共同使用。 | ||
揮發性:(純物質;TGA數據,加熱速率10ºC/分鐘,空氣中)
| 失重(%) | 溫度(℃) |
| 0.7 | 250 |
| 0.8 | 275 |
| 1.1 | 300 |
| 1.7 | 325 |
| 3.6 | 350 |



【返回上一頁】
產品列表
相關產品
最新文章
- 變色龍顏料原理與應用領域|奇幻變色顏料的色彩效果
- 色母粒分散性影響因素:材料與工藝對塑料制品顏色均勻性的影響
- 解決色母粒常見問題:應對顏色遷移、色差與滲色的全面解決方案
- 2025年鈦行業報告:科慕、特諾、龍蟒佰利聯領跑全球二氧化鈦
- DIC 2025年上半年財報:營業收入增長22.9%,DIC
- 比炭黑還黑的顏料有哪些?盤點那些顛覆視覺的“黑科技”超黑材料
- 全球珠光顏料市場分析報告(2025-2033):規模、趨勢與
- 2032年全球特效顏料市場將達15.68億美元|汽車與化妝品
- 熒光防偽顏料是什么?原理、技術應用與怎么用全解析
- 變色顏料原理詳解:什么是物理變色與化學變色?
- 填充母粒市場分析:2025–2032年全球規模、趨勢與區域前
- 卡博特炭黑制造商連續五年獲EcoVadis鉑金評級 領跑可持
- 熱致變色材料市場前景:2032年市場將突破38.5億美元
- KRAHN Chemie將分銷Vibrantz群青、釩酸鉍等
- 2025–2034年全球偶氮顏料市場分析:趨勢、增長預測與區
- 顏料紅108鎘紅和顏料紅254大紅的區別,哪個顏料更鮮艷?
- 光引發劑市場規模、類型、應用及趨勢分析(2025-2030)
- 熒光顏料市場預計2032年達6.21億美元:包裝、紡織與安全
- 國際炭黑協會ICBA發布首個爐法炭黑行業平均產品碳足跡PCF
- 特種炭黑行業趨勢分析:塑料與鋰電市場驅動增長
